癌症是全球第二大死亡原因。8月20日,国际顶尖医学期刊《柳叶刀》发表2019年全球疾病、伤害和危险因素负担(GBD)的最新研究,指出吸烟、饮酒、高BMI和其他已知危险因素是导致2019年全球近445万癌症死亡病例的原因。

这项大型研究分析了34个风险因素对癌症的影响,并证实了众所周知的事实——烟草是导致癌症的最大因素,占癌症病例的33.9%,其次是酒精,占7.4%。
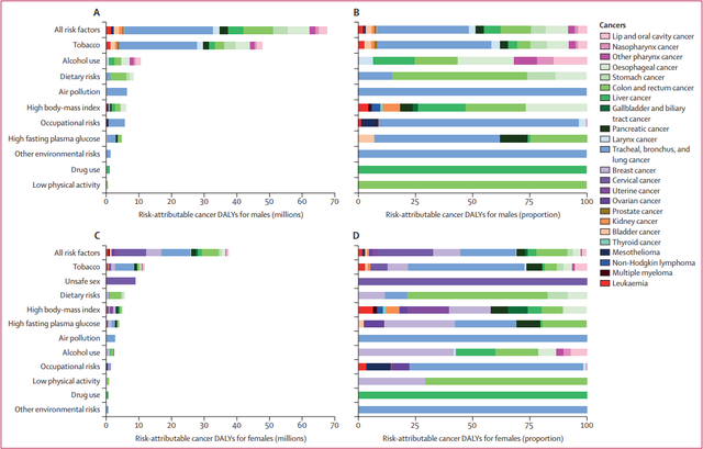
在该研究中,研究人员通过2019年全球疾病负担、伤害和风险因素(GBD)研究的结果,癌症负担的评估是基于伤残调整生命年(DALY,指从发病到死亡所损失的全部健康寿命年)。
//
男性癌症死亡人数中有50.6%是由于烟草、酒精和超重等风险因素造成的,而女性为36.3%。可归因于所有风险因素的癌症DALY总数为1.05亿,占所有癌症DALY的42%。
对可归因癌症DALY而言,男性的主要风险因素是烟草,占2019年男性所有癌症DALY的33.9%。酒精、饮食风险和空气污染紧随其后,分别占2019年所有男性癌症DALY的7.4%、5.9%和4.4%。
而对于女性,烟草也是主要风险因素,占2019年所有女性癌症DALY的10.7%。不安全性行为是女性的第二大风险因素,占8.2%,接下来是饮食风险、肥胖和高空腹血糖,分别占5.1%、4.7%和3.6%。
在行为风险方面,男性(33.2%)因吸烟导致的癌症DALY几乎是女性(8.9%)的四倍。在饮酒方面,男性(7.4%)的癌症DALY是女性(2.3%)的三倍多。
在研究环境和职业风险时,研究发现,男性(3.9%)与女性(1.3%)相比,癌症导致的DALY高出三倍,这表明男性可能比女性更有可能暴露于致癌物高风险的地方工作。

11个2级风险因素导致的癌症DALY
对癌症死亡分析发现,因风险导致癌症死亡的主要原因是气管癌、支气管癌和肺癌,占所有因风险因素导致的癌症死亡的36.9%。其次是男性结直肠癌(13.3%)、食道癌(9.7%)和胃癌(6.6%),以及女性宫颈癌(17.9%)、结直肠癌(15.8%)和乳腺癌(11%)。

不同性别癌症死亡统计
研究最后指出,癌症负担仍然是全球范围内日益严重的重要公共卫生挑战。这意味着应该更加重视预防,减少接触这些可改变的风险因素,如戒烟、戒酒、安全进行性行为、健康饮食、保持健康体重等。
与此同时,大约一半的癌症死亡与不可改变的危险因素有关,这意味着应重视癌症的早期筛查、及时发现和治疗。

一直以来,乳腺癌和宫颈癌是女性恶性肿瘤高发疾病。世界卫生组织国际癌症研究机构(IARC)发布的2020年全球最新癌症负担数据显示,2020年中国女性癌症新发病例数为:乳腺癌42万,宫颈癌11万。“两癌”的年轻化趋势亦愈发明显,严重影响中国妇女的生殖健康。

2020年中国女性癌症新发病例数前十的癌症类型
瑞士领誉医疗集团将以联盟医院——广州泰和肿瘤医院预防医学中心作为健康宣教总基地,整合院士工作站、泰和医学科创中心、泰和医学研究所的资源,开展有关乳腺癌、宫颈癌防治的“保护生命摇篮”健康主题活动,推动健康生活方式医学发展,增强女性的癌症预防意识,提升女性健康水平,保护女性生育力。

国际“保乳保子宫”中国行
暨“中欧乳腺肿瘤全程管理联盟”筹备启动仪式

参考资料
The global burden of cancer attributable to risk factors, 2010–19: a systematic analysis for the Global Burden of Disease Study 2019