

精准指导:1对1个性化咨询+19次线下小班会议”(每组≤15人);
动态追踪:搭配活动检测器实时记录每日步数,同步监测饮食执行情况;
多维覆盖:从热量控制、运动强度到情绪管理,形成全链条健康支持体系。

● 代谢综合征缓解率24.8%,显著高于对照组17.9%;
● 身体指标优化:腰围缩3.4cm,空腹血糖降2.5mg/dL,体重平均减5.7公斤,BMI显著降低。
24 个月随访期:效果稳存,长尾优势凸显
● 代谢综合征持续缓解率27.8%,较对照组提升46%;
● 关键指标领跑:空腹血糖低、步数多,蔬菜摄入与感官觉察评分高;
● 降压药使用率较对照组低8.8%。

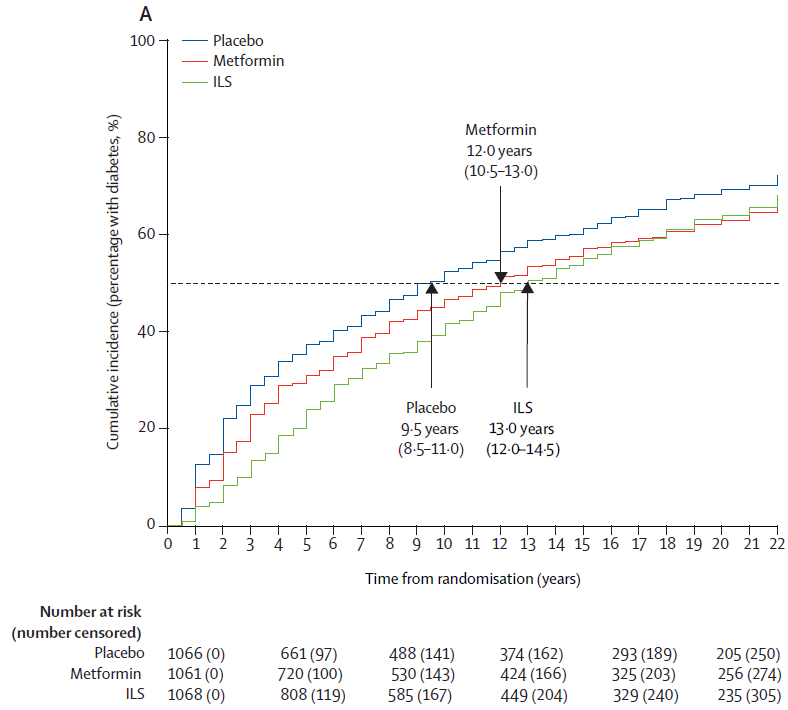
这种“长尾效应”并非个例。《柳叶刀·糖尿病与内分泌学》的糖尿病预防项目研究同样证实:生活方式干预能使糖尿病风险降低58%,效果持续20余年——核心逻辑在于,当运动饮食、感官觉察、情绪调节形成协同习惯,就会转化为稳定的健康素养,为代谢健康长效护航。

健康管理新范式

营养师主导的感官觉察训练,重建“食物-身体”联结,唤醒钝化的“七分饱”感知。数据显示,干预组6个月、24个月的感官觉察评分均显著高于对照组,这成为他们长期控制体重的核心能力。
情绪调节:打破“情绪-饮食”恶性循环
压力催生甜食渴望,焦虑引发暴饮暴食……这些“情绪性进食”正是代谢紊乱的隐形杀手。《Translational Psychiatry》研究已证实:负面情绪会使代谢综合征患病风险提升42%,这更凸显了情绪干预的重要性。

要“管身体”更要“调身心”
参考文献:
1.Powell LH, et al. 生活方式干预促进代谢综合征持续缓解. JAMA Intern Med. 2025. doi:10.1001/jamainternmed.2025.5900
2.Meshkat S, et al. 抑郁症状与代谢综合征的关联. Transl Psychiatry. 2025;15(1):68. doi:10.1038/s41398-025-03289-4
3.Knowler WC, et al. 生活方式干预预防2型糖尿病21年随访. Lancet Diabetes Endocrinol. 2025. doi:10.1016/S2213-8587(25)00089-6
4.Langer EJ. 心影响着身. 纽约: Ballantine Books, 2023. ISBN:9780593497944